Las Leyes de Newton o las Leyes del Movimiento de Newton son los tres principios fundamentales sobre los que se fundamenta la mecánica clásica. Fueron postulados por sir Isaac Newton en su obra “Philosohiae naturalis principia mathematica” (“Principios matemáticos de la filosofía natural”) de 1687.
Las Leyes de Newton tienen validez dentro de sistemas de referencia inerciales. Por otro lado, estas leyes no son válidas para objetos que se mueven a una velocidad próxima a la velocidad de la luz (300.000 km/s).
Índice del artículo
¿Cuáles son las 3 leyes de Newton?
Primera ley de Newton o Ley de la inercia
La primera ley de Newton, conocida también como Ley de inercia dice:
“Todo cuerpo persevera en su estado de reposo o de movimiento rectilíneo uniforme a no ser que sea obligado a cambiar su estado por fuerzas impresas sobre él”.
Por ende, un objeto que se desplaza o que está en reposo no puede alterar dicho estado, a menos que se le aplique algún tipo de fuerza.
Ejemplo
Usamos la ley inercia cuando tratamos de sacar salsa Kétchup de una botella agitándola. Primero hacemos que la botella (y la salsa del interior) se mueva hacia adelante; al mover la botella bruscamente hacia atrás, la salsa tiende a seguir moviéndose hacia adelante y, con suerte, cae en nuestra hamburguesa.
La primera ley de Newton sirve para definir un tipo especial de sistemas de referencia conocidos como Sistemas de referencia inerciales, que son aquellos sistemas de referencia desde los que se observa que un cuerpo sobre el que no actúa ninguna fuerza neta, y se mueven con velocidad constante (que puede ser nula).
En principio, es imposible encontrar un sistema de referencia inercial, puesto que siempre hay algún tipo de fuerzas actuando sobre los cuerpos, pero siempre es posible encontrar un sistema de referencia en el que el problema que estemos estudiando se pueda tratar como si estuviésemos en un sistema inercial. En muchos casos, suponer a un observador fijo en la Tierra es una buena aproximación de sistema inercial.
Segunda ley de Newton
La Primera ley de Newton nos dice que para que un cuerpo altere su movimiento es necesario que exista algo que provoque dicho cambio. Ese algo es lo que conocemos como fuerzas. Estas son el resultado de la acción de unos cuerpos sobre otros.
Segunda ley del movimiento de Newton dice:
“Si una fuerza externa neta actúa sobre un cuerpo, éste se acelera. La dirección de aceleración es la misma que la dirección de la fuerza neta. El vector de fuerza neta es igual a la masa del cuerpo multiplicada por su aceleración”.

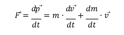
La expresión de la Segunda ley de Newton que hemos dado es válida para cuerpos cuya masa sea constante (no varía). Si la masa cambia, como por ejemplo un cohete que va quemando combustible, no es válida la ecuación anterior. Vamos a generalizar la Segunda ley de Newton para que incluya el caso de sistemas en los que pueda variar la masa.
Para ello primero vamos a definir una magnitud física nueva. Esta magnitud física es la cantidad de movimiento que se representa por la letra «p» y se define de la siguiente forma:

La Fuerza que actúa sobre un cuerpo es igual a la tasa de cambio «p» con respecto al tiempo de dicho cuerpo, es decir:


👉Consulta nuestras academias:
Tercera ley de Newton
Tal como comentamos al principio de la Segunda ley de Newton, las fuerzas son el resultado de la acción de unos cuerpos sobre otros, la tercera ley nos dice que esas fuerzas vienen de a pares.
Dicha ley, también conocida como Principio de acción y reacción nos dice que:


Esto es algo que podemos comprobar a diario en numerosas ocasiones.
Ejemplo
Por ejemplo, cuando queremos dar un salto hacia arriba, empujamos el suelo para impulsarnos. La reacción del suelo es la que nos hace saltar hacia arriba.
Hay que destacar que, aunque los pares de acción y reacción tengan el mismo valor y sentidos contrarios, no se anulan entre sí, puesto que actúan sobre cuerpos distintos.
👉Consulta nuestros niveles:





Deja una respuesta